Notice
Recent Posts
Recent Comments
Link
| 일 | 월 | 화 | 수 | 목 | 금 | 토 |
|---|---|---|---|---|---|---|
| 1 | ||||||
| 2 | 3 | 4 | 5 | 6 | 7 | 8 |
| 9 | 10 | 11 | 12 | 13 | 14 | 15 |
| 16 | 17 | 18 | 19 | 20 | 21 | 22 |
| 23 | 24 | 25 | 26 | 27 | 28 | 29 |
| 30 |
Tags
- programmers
- react-router
- Algorithm
- SW
- json-server
- 자바
- useDispatch
- 매일메일
- 이코테
- 코딩테스트합격자되기
- java
- 항해99
- 테코테코
- Python
- redux
- axios
- JavaScript
- redux-toolkit
- C++
- redux-saga
- 알고리즘
- 리액트
- createSlice
- 항해플러스
- sw expert academy
- react
- 프로그래머스
- react-redux
- maeil-mail
- Get
Archives
- Today
- Total
Binary Journey
[Algorithm] Topology Sort (위상 정렬) 본문
반응형
위상정렬은 순서가 정해져 있는 작업을 차례로 수행해야 할 떄 순서를 결정해주는 알고리즘이다.
위상정렬은 여러 개의 답이 존재할 수도 있고 사이클이 발생하는 경우 수행이 불가능하다는 특징이 있다.

위상 정렬 수행으로는 스택과 큐를 사용하는 데 큐로 더 고급적인 수행이 가능하다고 인강에선 큐를 이용하여 소스를 작성하였다.
순서로는
- 진입차수가 0인 정점을 큐에 삽입
- 큐에서 원소를 꺼내어 연결된 모든 간선 제거
- 간선 제거 이후 진입차수가 0이 되는 정점을 큐에 삽입
- 큐가 빌 때까지 2,3번 과정 반복
- 모든 원소를 방문하기 전에 큐가 빈다면 사이클이 존재한다는 것 - 모든 원소를 방문했다면 큐에서 꺼낸 순서가 위상 정렬의 결과임
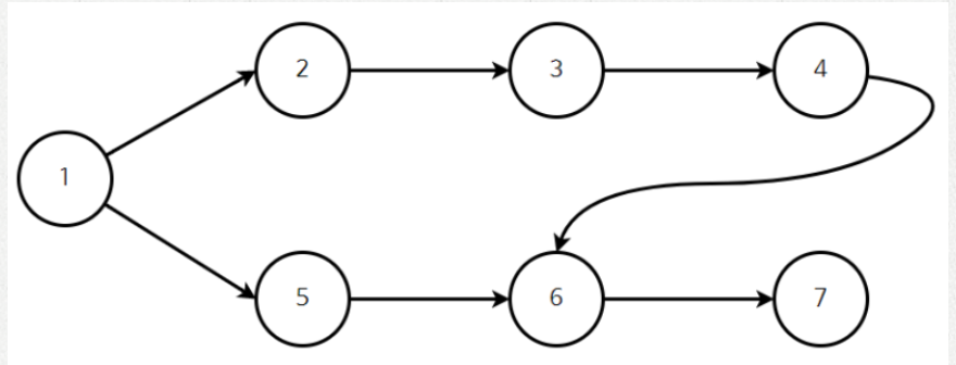
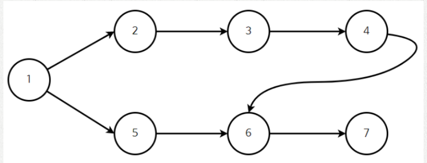
위 그림을 표로 나타내면
| 정점 | 1 | 2 | 3 | 4 | 5 | 6 | 7 |
| 진입차수 | 0 | 1 | 1 | 1 | 1 | 2 | 1 |
** C++
#include <iostream>
#include <vector>
#include <queue>
#define MAX 10
using namespace std;
int n, inDegree[MAX];
vector<int> a[MAX];
void topologySort() {
int result[MAX];
queue<int> q;
// 진입 차수 0인 노드를 큐에 삽입
for (int i = 1; i <= n; i++) {
if (inDegree[i] == 0) q.push(i);
}
// 정렬이 완전히 수행되기 위해 정확히 n개의 노드를 방문
for (int i = 1; i <= n; i++) {
if (q.empty()) {
printf("사이클 발생");
return;
}
int x = q.front();
q.pop();
result[i] = x;
for (int i = 0; i < a[x].size(); i++) {
int y = a[x][i];
// 새롭게 진입차수가 0인 정점을 큐에 삽입
if (--inDegree[y] == 0) {
q.push(y);
}
}
}
for (int i = 1; i <= n; i++) {
printf("%d ", result[i]);
}
}
int main(void) {
n = 7;
a[1].push_back(2);
inDegree[2]++;
a[1].push_back(5);
inDegree[5]++;
a[2].push_back(3);
inDegree[3]++;
a[3].push_back(4);
inDegree[4]++;
a[4].push_back(6);
inDegree[6]++;
a[5].push_back(6);
inDegree[6]++;
a[6].push_back(7);
inDegree[7]++;
topologySort();
}
** Python
from collections import deque
number = 7
indegree = [0] * (number + 1);
graph = [[] for i in range(number + 1)]
def topologySort():
# 알고리즘 수행 결과
result = []
# 큐
q = deque()
# 진입 차수가 0인 노드를 큐에 삽입
for i in range(1, number + 1):
if indegree[i] == 0:
q.append(i)
# 큐가 빌 때까지 반복
while q:
# 큐에서 원소 꺼내기
now = q.popleft()
result.append(now)
# 해당 원소와 연결된 노드들의 진입차수에서 1 빼기
for i in graph[now]:
indegree[i] -= 1
# 새롭게 진입차수가 0이 되는 노드를 큐에 삽입
if indegree[i] == 0:
q.append(i)
for i in result:
# 결과 출력
print(i)
if __name__ == "__main__":
number = 7
graph[1].append(2)
indegree[2] += 1
graph[1].append(5)
indegree[5] += 1
graph[2].append(3)
indegree[3] += 1
graph[3].append(4)
indegree[4] += 1
graph[4].append(6)
indegree[6] += 1
graph[5].append(6)
indegree[6] += 1
graph[6].append(7)
indegree[7] += 1
topologySort();
위상정렬의 시간 복잡도는 O(V+E) 로 정점 + 간선이다.
모든 노드를 확인하고 해당 노드에서 출발하는 간선을 차례대로 제거하면서 노드와 간선을 모두 확인하기 때문이다.
반응형
'Algorithm > 알고리즘 스터디(2021.07)' 카테고리의 다른 글
| [Algorithm] 네트워크 플로우 (Network Flow) (0) | 2021.10.25 |
|---|---|
| [Algorithm] 강한 요소 결합 (Strongly Connected Component, SCC) (0) | 2021.10.24 |
| [Algorithm] Floyd Warshall Algorithm (플로이드 와샬 알고리즘) (0) | 2021.10.17 |
| [Algorithm] Dijkstra Algorithm (데이크스트라 알고리즘) (0) | 2021.10.05 |
| [Algorithm] 에라토스테네스의 체 (0) | 2021.10.04 |