Notice
Recent Posts
Recent Comments
Link
| 일 | 월 | 화 | 수 | 목 | 금 | 토 |
|---|---|---|---|---|---|---|
| 1 | 2 | |||||
| 3 | 4 | 5 | 6 | 7 | 8 | 9 |
| 10 | 11 | 12 | 13 | 14 | 15 | 16 |
| 17 | 18 | 19 | 20 | 21 | 22 | 23 |
| 24 | 25 | 26 | 27 | 28 | 29 | 30 |
| 31 |
Tags
- createSlice
- programmers
- axios
- 리액트
- SW
- 항해플러스
- useDispatch
- JavaScript
- 테코테코
- Algorithm
- redux-toolkit
- 코딩테스트합격자되기
- 알고리즘
- json-server
- 프로그래머스
- 항해99
- Python
- 자바
- maeil-mail
- 이코테
- java
- react-router
- C++
- 매일메일
- Get
- redux
- redux-saga
- react-redux
- react
- sw expert academy
Archives
- Today
- Total
Binary Journey
[Algorithm] Floyd Warshall Algorithm (플로이드 와샬 알고리즘) 본문
Algorithm/알고리즘 스터디(2021.07)
[Algorithm] Floyd Warshall Algorithm (플로이드 와샬 알고리즘)
binaryJournalist 2021. 10. 17. 20:52반응형
지난번 배운 데이크스트라 알고리즘과 비슷하다.
데이크스트라는 한 정점에서 모든 노드로 향하는 가장 최단 거리를 구하는 것이고 플로이드 알고리즘은 모든 노드에서 모든 노드로 가는 최단 거리를 구한다는 점에서 약간의 차이점이 있다.
위 설명이 이해가 가기 어렵겠지만
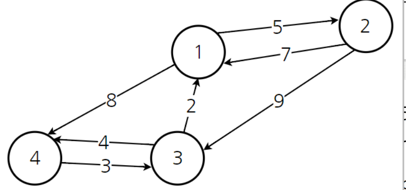
예를 들어 문래동, 목동, 화곡동, 신대방동 이렇게 네 곳이 있을 때 문래동을 경유하는 최단 거리, 목동을 경유하는 최단거리, 화곡동을 경유하는 최단 거리, 신대방동을 경유하는 최단거리를 구한다고 생각하면 된다.

위 노드에 대해 코드를 작성하자면
** C++
#include <stdio.h>
int number = 4;
int INF = 1000000000;
// 자료 배열 초기화
int a[4][4] = {
{ 0, 5, INF, 8 },
{ 7, 0, 9, INF },
{ 2, INF, 0, 4 },
{ INF, INF, 3, 0 }
};
void floydWarshall() {
// 결과 그래프 초기화
int d[number][number];
// 결과 그래프 초기화
for (int i = 0; i < number; i++) {
for (int j = 0; j < number; j++) {
d[i][j] = a[i][j];
}
}
// k 는 거쳐가는 노드
for (int k = 0; k < number; k++) {
// i 는 출발 노드
for (int i = 0; i < number; i++) {
// j 는 도착 노드
for (int j = 0; j < number; j++) {
if (d[i][k] + d[k][j] < d[i][j]) {
d[i][j] = d[i][k] + d[k][j];
}
}
}
}
// 결과 출력
for (int i = 0; i < number; i++) {
for (int j = 0; j < number; j++) {
printf("%3d", d[i][j]);
}
printf("\n");
}
}
int main(void) {
floydWarshall();
}
for문을 세 단계를 써서 놀랐는데 원래 그런가보다.
강의 영상에서도 for문을 세 번 쓰기 때문에 시간복잡도가 O(N^3)이라고 하였다.
** Javascript
const number = 4;
const INF = 1000000000;
// 자료 배열 초기화
let a = [
[ 0, 5, INF, 8 ],
[ 7, 0, 9, INF ],
[ 2, INF, 0, 4 ],
[ INF, INF, 3, 0 ]
];
function floydWarshall() {
// 결과 그래프 초기화
let d = [];
for (let i = 0; i < number; i++) {
const arr = [0, 0, 0, 0];
d.push(arr);
}
// 결과 그래프 초기화
for (let i = 0; i < number; i++) {
for (let j = 0; j < number; j++) {
d[i][j] = a[i][j];
}
}
// k 는 거쳐가는 노드
for (let k = 0; k < number; k++) {
// i 는 출발 노드
for (let i = 0; i < number; i++) {
// j 는 도착 노드
for (let j = 0; j < number; j++) {
if (d[i][k] + d[k][j] < d[i][j]) {
d[i][j] = d[i][k] + d[k][j];
}
}
}
}
// 결과 출력
for (let i = 0; i < number; i++) {
console.log(d[i]);
}
}
floydWarshall();
** Python
number = 4
INF = 1000000000
## 자료 배열 초기화
a = [
[0, 5, INF, 8],
[7, 0, 9, INF],
[2, INF, 0, 4],
[INF, INF, 3, 0]
]
def floyd_warshall():
## 결과 그래프 초기화
d = []
for i in range(number):
d.append([0,0,0,0])
## 결과 그래프 초기화
for i in range(number):
for j in range(number):
d[i][j] = a[i][j]
## k는 거쳐가는 노드
for k in range(number):
## i는 출발 노드
for i in range(number):
## j는 도착 노드
for j in range(number):
if d[i][k] + d[k][j] < d[i][j]:
d[i][j] = d[i][k] + d[k][j]
## 결과 출력
for i in range(number):
print(d[i])
if __name__ == "__main__":
floyd_warshall()
** Java
public class Main
{
private static int number = 4;
private static int INF = 1000000000;
private static int a[][] = {
{ 0, 5, INF, 8 },
{ 7, 0, 9, INF },
{ 2, INF, 0, 4 },
{ INF, INF, 3, 0 }
};
private static void floydWarshall() {
// 결과 그래프 초기화
int d[][] = new int[number][number];
// 결과 그래프 초기화
for (int i = 0; i < number; i++) {
for (int j = 0; j < number; j++) {
d[i][j] = a[i][j];
}
}
// k 는 거쳐가는 노드
for (int k = 0; k < number; k++) {
// i 는 출발 노드
for (int i = 0; i < number; i++) {
// j 는 도착 노드
for (int j = 0; j < number; j++) {
if (d[i][k] + d[k][j] < d[i][j]) {
d[i][j] = d[i][k] + d[k][j];
}
}
}
}
// 결과 출력
for (int i = 0; i < number; i++) {
for (int j = 0; j < number; j++) {
System.out.printf("%3d", d[i][j]);
}
System.out.printf("\n");
}
}
public static void main(String[] args) {
floydWarshall();
}
}반응형
'Algorithm > 알고리즘 스터디(2021.07)' 카테고리의 다른 글
| [Algorithm] 강한 요소 결합 (Strongly Connected Component, SCC) (0) | 2021.10.24 |
|---|---|
| [Algorithm] Topology Sort (위상 정렬) (0) | 2021.10.17 |
| [Algorithm] Dijkstra Algorithm (데이크스트라 알고리즘) (0) | 2021.10.05 |
| [Algorithm] 에라토스테네스의 체 (0) | 2021.10.04 |
| [Algorithm] 다이나믹 프로그래밍 타일링 문제 풀어보기 (2/2) (백준 2133번, 14852번 ) (0) | 2021.09.26 |